本文重点摘要
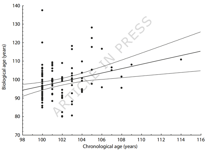
今日分享一则发表在Nature子刊上的与长寿相关的最新报道。这篇报道为我们揭示了极端长寿与免疫相关的颠覆性发现。 (1)科学重磅新发现,彻底推翻一个百年常识:极端长寿,未必就要付出 “免疫严重衰老” 的代价! (2)极端长寿的关键在于保持免疫平衡。百岁老人的免疫系统并非全面衰退,而是呈现出选择性的免疫重塑; (3)生物年龄—— 反映机体生理和功能状态的 “实际衰老年龄”,才是衡量百岁老人衰老程度的准确指标。 在人们的固有认知中,老人往往被认为是免疫功能严重衰退、被多种老年病缠身的状态,但一项针对哥伦比亚百岁老人的最新研究,彻底打破了这一偏见。 近期,发表在npj Aging的一篇名为“Biological age and immunosenescence in Colombian centenarians”的新研究就以哥伦比亚160名百岁老人为对象,通过横断面研究探讨生物学年龄、免疫衰老与年龄相关临床变量的关联,并进行了细胞因子谱(114人)和淋巴细胞免疫表型(42人)检测[1]。 研究挑战了百岁老人中必然存在免疫衰老的传统认知,凸显了老年科学领域转化研究的重要性。这为人类探索健康长寿的奥秘提供了全新视角。 百岁老人也分“三六九等”? 这项研究共纳入160名哥伦比亚百岁老人,平均年龄102岁,其中72%为女性,是目前针对拉美地区百岁老人规模较大的一项横断面研究。 研究人员采用混合聚类方法(包括主成分分析、层次聚类和k-均值聚类)[2]对百岁老人进行了分类。 通过生活质量、营养状况、身体功能、认知水平等多维度指标,首次将百岁老人划分为三个类型:强健型(vigorous)、适应型(resilient)和脆弱型(vulnerable),三种类型分别占比10%、46.25%、43.75%(图2)[1]。 (图片2可见参考文献1) 让人意外的是,尽管这些老人都年过百岁,但近六成并非传统认知中 “体弱多病” 的状态: 强健型老人保持着较好的身体功能、认知水平和生活质量; 适应型老人虽可能存在一些身体机能下降,但对生活的满意度高,展现出强大的心理和生理适应能力; 仅有不到半数的脆弱型老人存在明显的身体衰弱、认知障碍等问题。 研究还发现,这些百岁老人的整体健康状况超出预期: 35%的老人无年龄相关慢性疾病,仅23%存在多重用药(同时服用 5 种及以上药物)的情况。 且超三分之二的老人对生活表示满意或极度满意,即便部分老人存在认知障碍、肌肉减少症等问题,依然保持着较高的生活幸福感,这反映出百岁老人群体极强的身心韧性。 极端长寿的关键:保持免疫平衡 免疫衰老是指随着年龄增长,免疫系统出现的功能衰退和慢性低度炎症状态,也被称为 “炎性衰老”,一直被认为是老年病发生的重要原因,也是长寿的重要阻碍。 但这项研究却发现,哥伦比亚百岁老人的免疫系统呈现出 “非典型” 特征,彻底挑战了 “极端长寿必然伴随严重免疫衰老” 的传统观点。 研究人员对114名老人进行了细胞因子检测(图3),对42名老人开展了淋巴细胞免疫表型分析,发现百岁老人的免疫系统并非全面衰退,而是呈现出选择性的免疫重塑: (图片3可见参考文献1) (1)研究显示,这些百岁老人的CD4/CD8淋巴细胞比值平均为 4.8,处于健康水平,说明核心的免疫细胞平衡依然保持; (2)幼稚T细胞和记忆T细胞亚群在所有老人体内均有存在,只是比例不同,意味着免疫系统仍保留着应对新病原体和回忆性免疫应答的能力; (3)虽然部分炎症因子如RANTES、G-CSF水平高于健康老年人,但远低于老年痴呆、血管疾病等病理状态下的水平,呈现出“可控的低度炎症”状态,这种炎症并非破坏性的,反而可能参与免疫招募和组织修复,是免疫系统的一种适应性调节。 值得注意的是,在分类比较中,强健型百岁老人(Vigorous)表现出更高的CD8+ KLRG1+ CD57+ TEMRA细胞比例,而脆弱型(Vulnerable)百岁老人则显示更高的CD8+ KLRG1+ CD57- T细胞水平,这进一步证实了特定CD8+ T细胞表型与生物学年龄和衰老表型的关联。 生物年龄才是衰老的“晴雨表” 我们通常用出生年龄(实足年龄)衡量衰老,但这项研究证实,生物年龄—— 反映机体生理和功能状态的 “实际衰老年龄”,才是衡量百岁老人衰老程度的准确指标。 研究人员采用莱文表型年龄算法计算生物年龄(图4),发现即便都是百岁老人,其生物年龄差异显著,而这种差异与多种因素密切相关。 (图片4可见参考文献1) 研究发现,更高的生活质量与更低的生物年龄显著相关,世界卫生组织老年生活质量量表(WHOQOL-AGE)得分越高,生物年龄越低,这意味着身心的愉悦和满足能直接延缓机体的生理衰老。 此外,每周进行 2-3 次规律体育锻炼的老人,生物年龄也有降低的趋势,提示适度的运动是延缓衰老的重要方式。 另一项研究还发现,性别在免疫衰老过程中也扮演着重要角色。女性相比男性,在naive T细胞和某些T细胞亚群上表现出更强的抗衰老能力。 女性在老年时仍能保持较高的naive T细胞比例,这可能与她们更强的胸腺功能和激素水平有关。男性在老年时CM CD4+ T细胞比例显著下降,而女性则相对稳定。 这一研究结果也与Nelli等人发现的结果一致,全球范围内的百岁老人中,女性占据了绝大多数,比例高达80%以上,而且女性的生存率通常都高于男性,预期寿命的性别差距为 4.2 至 6.2 岁。 (图片可见参考文献2) 最后,该研究也指出了未来的探索方向:目前的研究为横断面研究,无法揭示生物年龄和免疫衰老的动态变化过程;后续需要开展纵向研究,追踪百岁老人的衰老轨迹,同时结合表观遗传时钟、基因组学等技术,进一步挖掘长寿的遗传和分子机制。此外,针对 “可控炎症”“免疫重塑” 的干预研究,也可能成为未来抗衰老研究的重要方向。 小结 总而言之,这项研究让我们对长寿有了全新的理解:衰老并非一场单向的 “衰退之旅”,而是机体不断适应、重塑的过程,生物年龄才是这场旅程的 “导航仪”。而健康长寿的秘诀,从来都藏在日常的生活方式和身心状态中,这对每一个追求美好生活的人来说,都是最珍贵的启示。 本期撰文:中山大学 浅蓝 本文审核专家:江苏大学附属医院 李晶教授 参考文献: 1.Anaya, JM., Ruiz-Narváez, E.A., Lozada-Martinez, I.D. et al. Biological age and immunosenescence in Colombian centenarians. npj Aging (2026). https://doi.org/10.1038/s41514-026-00340-6 链接:https://www.nature.com/articles/s41514-026-00340-6 2.Arakelyan NA, Kupriyanova DA, Vasilevska J, Rogaev EI. Sexual dimorphism in immunity and longevity among the oldest old. Front Immunol. 2025 Feb 17;16:1525948. doi: 10.3389/fimmu.2025.1525948. PMID: 40034689; PMCID: PMC11872714. 链接:https://pubmed.ncbi.nlm.nih.gov/40034689/.







博雅新闻
行业政策

在线咨询
留言您的联系方式及需求,专业顾问将于收到资料后尽快与您回复。
我要预约
填写您的预约需求,您将获得相应的专业顾问满足您的需求。
电话咨询
全国统一客服专线400-885-0012,期待为您服务。
微信咨询
直接添加客服微信号,专业顾问随时准备解答您的一切疑问。
在线咨询
服务热线
400-885-0012
官方微信
TOP
观望只会错过守护宝宝和家庭的机会
存储新生儿干细胞
机会一生只有一次
扫码了解细胞新时代